Условие:
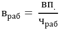
На основании данных табл.1 определить способом относительных разниц влияние на среднегодовую выработку одного работника промышленно – производственного персонала и на объем продукции изменения доли рабочих в численности промышленно-производственного персонала и среднегодовой выработки рабочего.
Таблица 1


