Условие:
Дана функция распределения случайной величины:

Найти: плотность распределения; числовые характеристики; вероятность попадания в интервал
Построить графики функции распределения и плотности распределения.

Дана функция распределения случайной величины:

Найти: плотность распределения; числовые характеристики; вероятность попадания в интервал
Построить графики функции распределения и плотности распределения.
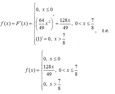
Дифференциальная функция распределения вероятностей (плотность распределения) f(х) это производная от функции распределения F(х):

Вычислим числовые характеристики X;
Для непрерывных случайных величин математическое ожидание (среднее значение) и дисперсия находится по формулам: