Условие:
Случайная величина X в интервале (0, π) задана плотностью распределения f(x) = (1/2) sinx ; вне этого интервала f(x) = 0.
Найти дисперсию X.

Случайная величина X в интервале (0, π) задана плотностью распределения f(x) = (1/2) sinx ; вне этого интервала f(x) = 0.
Найти дисперсию X.
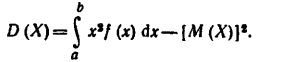
Найдем дисперсию по формуле

Подставив сюда
M(Х) = /2 (кривая рас...