Условие:
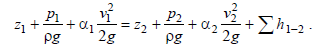
Определить расход при истечении керосина (плотность ρ=808 кг/м3; кинематический коэффициент вязкости ν=0,025 Ст) из закрытого резервуара с избыточным давлением ри =10,5 кПа в атмосферу по трубопроводу длиной l=5,0 м и диаметром d=35 мм. Коэффициент сопротивления вентиля ζвент = 4,0 . Шероховатость стенок трубы Δ=0,05 мм. Уровень жидкости в резервуаре считать постоянным и равным H0=2,0 м



