Найдите экстремумы и критические (стационарные) точки функции f(x)=2x3+3x2-72x-213; В точке производная меняет знак с «-» на «+», значит в этой точке минимум. Вычислим значение минимума:
«Найдите экстремумы и критические (стационарные) точки функции
f(x)=2x3+3x2-72x-213; В точке производная меняет знак с «-» на «+», значит в этой точке минимум. Вычислим значение минимума:»
- Высшая математика
Условие:
Найдите экстремумы и критические (стационарные) точки функции
f(x)=2x3+3x2-72x-213;
Решение:
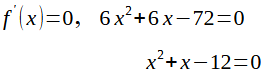
Найдем производную функции

Приравниваем производную к нулю, чтобы найти критические точки

По теореме Виета находим корни квадратного уравнения:
Похожие задачи
Не нашел нужную задачу?
Воспользуйся поиском
AI помощники
Выбери предмет
S
А
Б
В
Г
И
К
М
П
- Правоохранительные органы
- Пожарная безопасность
- Парикмахерское искусство
- Природообустройство и водопользование
- Почвоведение
- Приборостроение и оптотехника
- Промышленный маркетинг и менеджмент
- Производственный маркетинг и менеджмент
- Процессы и аппараты
- Программирование
- Право и юриспруденция
- Психология
- Политология
- Педагогика
С
Т
- Трудовое право
- Теория государства и права (ТГП)
- Таможенное право
- Теория игр
- Текстильная промышленность
- Теория вероятностей
- Теоретическая механика
- Теория управления
- Технология продовольственных продуктов и товаров
- Технологические машины и оборудование
- Теплоэнергетика и теплотехника
- Туризм
- Товароведение
- Таможенное дело
- Торговое дело
- Теория машин и механизмов
- Транспортные средства
Ф
Э