Составить уравнение кривой, проходящей через точку (1;1), если известно, что произведение абсциссы любой точки кривой на угловой коэффициент касательной к кривой в этой точке равно удвоенной сумме координат точки.
«Составить уравнение кривой, проходящей через точку (1;1), если известно, что произведение абсциссы любой точки кривой на угловой коэффициент касательной к кривой в этой точке равно удвоенной сумме координат точки.»
- Высшая математика
Условие:
Составить уравнение кривой, проходящей через точку (1;1), если известно, что произведение абсциссы любой точки кривой на угловой коэффициент касательной к кривой в этой точке равно удвоенной сумме координат точки.
Решение:
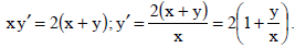
Пусть M(x,y) - точка касания, тогда угловой коэффициент касательной, проведенной в точке M(x,y) равен y' . По условию задачи
Получили однородное уравнение. Сделаем подстановку 
Похожие задачи
Не нашел нужную задачу?
Воспользуйся поиском
AI помощники
Выбери предмет
S
А
Б
В
Г
И
К
М
П
- Правоохранительные органы
- Пожарная безопасность
- Парикмахерское искусство
- Природообустройство и водопользование
- Почвоведение
- Приборостроение и оптотехника
- Промышленный маркетинг и менеджмент
- Производственный маркетинг и менеджмент
- Процессы и аппараты
- Программирование
- Право и юриспруденция
- Психология
- Политология
- Педагогика
С
Т
- Трудовое право
- Теория государства и права (ТГП)
- Таможенное право
- Теория игр
- Теория вероятностей
- Теоретическая механика
- Теория управления
- Технология продовольственных продуктов и товаров
- Технологические машины и оборудование
- Теплоэнергетика и теплотехника
- Туризм
- Товароведение
- Таможенное дело
- Торговое дело
- Теория машин и механизмов
- Транспортные средства
Ф
Э