Даны вершины пирамиды: A1 (3;3;9),A2 (6;9;1),A3 (1;7;3),A1 (8;5;8). Требуется найти средствами векторной алгебры. Даны вершины пирамиды: A1 (3;3;9),A2 (6;9;1),A3 (1;7;3),A1 (8;5;8). Требуется найти средствами векторной алгебры.
«Даны вершины пирамиды: A1 (3;3;9),A2 (6;9;1),A3 (1;7;3),A1 (8;5;8). Требуется найти средствами векторной алгебры. Даны вершины пирамиды: A1 (3;3;9),A2 (6;9;1),A3 (1;7;3),A1 (8;5;8). Требуется найти средствами векторной алгебры.»
- Высшая математика
Условие:
Даны вершины пирамиды:
Требуется найти средствами векторной алгебры:
1) Длину ребра 
2) Угол между ребрами
и 
3) Площадь грани 
4) Объем пирамиды
5) Уравнение высоты, опущенной из вершины
на грань 
Решение:
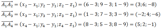
Запишем координаты векторов:

1) Длину ребра
найдем как длину вектора
Похожие задачи
Не нашел нужную задачу?
Воспользуйся поиском
AI помощники
Выбери предмет
S
А
Б
В
Г
И
К
М
П
- Правоохранительные органы
- Пожарная безопасность
- Парикмахерское искусство
- Природообустройство и водопользование
- Почвоведение
- Приборостроение и оптотехника
- Промышленный маркетинг и менеджмент
- Производственный маркетинг и менеджмент
- Процессы и аппараты
- Программирование
- Право и юриспруденция
- Психология
- Политология
- Педагогика
С
Т
- Трудовое право
- Теория государства и права (ТГП)
- Таможенное право
- Теория игр
- Текстильная промышленность
- Теория вероятностей
- Теоретическая механика
- Теория управления
- Технология продовольственных продуктов и товаров
- Технологические машины и оборудование
- Теплоэнергетика и теплотехника
- Туризм
- Товароведение
- Таможенное дело
- Торговое дело
- Теория машин и механизмов
- Транспортные средства
Ф
Э