Условие:
Определить напряжения в грунте основания от собственного веса грунта.
Исходные данные:


Определить напряжения в грунте основания от собственного веса грунта.
Исходные данные:

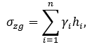
Вертикальные напряжения от собственного веса грунта определяются по формуле:

где
и hi - соответственно удельный вес и толщина i-го слоя грунта.
Для водонасыщенных грунтов удельный вес () определяетс...