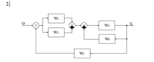
Условие:
Найти передаточную функцию системы автоматического регулирования.
Дано:




Найти передаточную функцию системы автоматического регулирования.
Дано:



1. Схема первая
Звенья
соединены параллельно, следовательно, 
Звено W3(p) соединено со звеном W1,2(p) последовательно, следовательно,