Условие:
Определите передаточные функции звеньев и исследуйте их свойства.



Определите передаточные функции звеньев и исследуйте их свойства.


1. Безынерционное звено
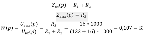
1.1 Передаточная функция

1.2 Дифференциальное уравнение

1.3 Частотные характеристики
- АФЧХ (амплитудно-фазовая частотная характеристика):
Не нашел нужную задачу?