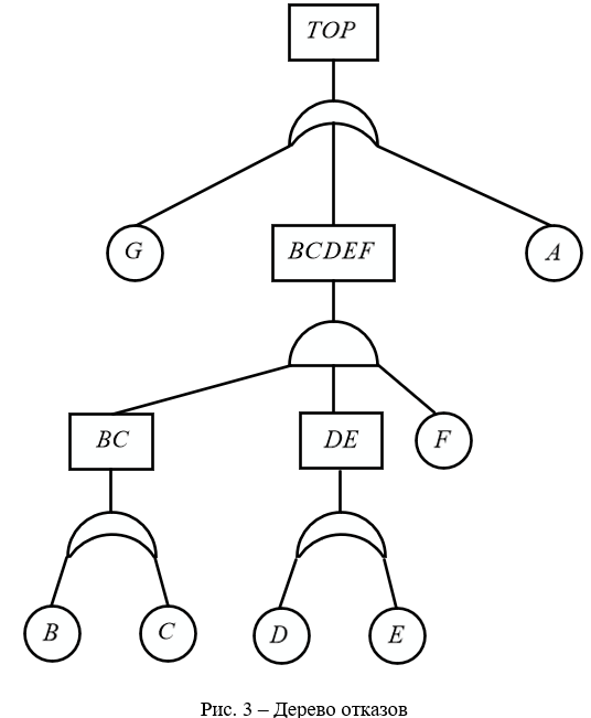
Условие:
Построить дерево отказов, определить минимальные критические сечения для электрической схемы. Определить вероятность реализации вершинного события (ТОР) при заданном времени эксплуатации (t) и интенсивности отказов (𝜆) отдельно взятого элемента.



