Условие:
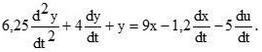
Дано дифференциальное уравнение, характеризующее динамику технологического объекта,

Определить, устойчивость объекта.

Дано дифференциальное уравнение, характеризующее динамику технологического объекта,

Определить, устойчивость объекта.
Если обозначить Y(s), X(s) и U(s) как изображения сигналов y, x и u соответственно, то операторное уравнение (при нулевых начальных условиях) в данном случае примет вид:
6,25s2Y(s) + 4sY(s) + Y(s) = 9X(s) 1,2sX(s) - 5sU(s).
Данное уравнение можно преобразовать, вынеся Y(s) и X(s) за скобки:
Y(s)∙(6,25s2 + 4s + 1) = X(s)∙(9 1,2s) - 5sU(s).
Отсюда получено:

Если обозначить передаточные функции объекта ...