Условие:
Система состоит из 3 элементов. λ1=0,00074*t, для второго элемента справедливо распределение Релея (λ2(150)=0,000046), для третьего элемента λ3=0,00002=const. Определить вероятность безотказной работы системы за 250 ч.

Система состоит из 3 элементов. λ1=0,00074*t, для второго элемента справедливо распределение Релея (λ2(150)=0,000046), для третьего элемента λ3=0,00002=const. Определить вероятность безотказной работы системы за 250 ч.
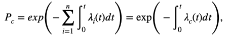
Вероятность безотказной работы системы:

где
интенсивность отказов системы;
интенсивность отказов i-го элемента.