Условие:
Замкнутая система автоматического регулирования состоит из 3 последовательных звеньев. Звенья охвачены отрицательной обратной связью. Определить устойчивость по двум критериям (алгебраическому и частотному).
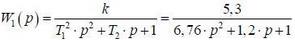
Исходные данные:
Критерий устойчивости:



