Условие:
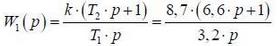
Замкнутая система автоматического регулирования состоит из 3 последовательных звеньев. Звенья охвачены отрицательной обратной связью. Определить устойчивость по двум критериям (алгебраическому и частотному).
Исходные данные:
Критерий устойчивости:



