Условие:
Дать количественную оценку потенциальной вредности производственного процесса, при котором в воздух рабочей зоны выделяются бензол, оксид углерода и аэрозоль алюминия.
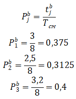
Продолжительность рабочей смены
(ч). Время действия вредного фактора
(ч). Время нахождения человека в зоне действия вредного фактора в течение рабочей смены
(ч). Фактическое содержание j-го вредного вещества
(мг/м3). Предельное содержание j -го вредного вещества
(мг/м3). Количество работающих в зоне действия вредных факторов
(чел). Количество работающих, не подвергающихся действию вредных факторов
(чел). Общая численность работающих N (чел).
Исходные данные в таблице 2.
Таблица 2



