Условие:
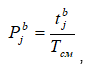
Дать количественную оценку потенциальной вредности производственного процесса, при котором в воздух рабочей зоны выделяются бензол, углерода оксид и аэрозоль алюминия. Продолжительность рабочей смены Тсм (ч). Время действия вредного фактора tbj (ч). Время нахождения человека в зоне действия вредности в течение рабочей смены tpj (ч). Фактическое содержание j–го вредного вещества dj (мг/м3). Предельное содержание j–го вредного вещества Dj (мг/м3). Количество работающих в зоне действия вредных факторов Nm (чел). Количество работающих, не подвергающихся действию вредных факторов Nb (чел). Общая численность работающих N (чел).
Исходные данные:



