Условие:
Определение оборота вагонов и экономического эффекта от его ускорения
Исходные данные:
Таблица 4.1 - Характеристика вагонопотоков региона железной дороги

Таблица 4.2 - Показатели использования вагонов

Примечание: В табл. 4.1 и 4.2 дробью показано изменение показателя: числитель – до реализации мер по ускорению оборота вагона, знаменатель – после реализации таких мер.
Требуется:
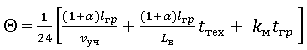
1. Определить время оборота и рабочий парк вагонов на регионе дороги.
2. Определить ускорение оборота вагонов и сокращение потребности в вагонном парке при реализации одной из мер: увеличение скорости, вагонного плеча, сокращения простоя вагонов на станциях, уменьшения порожнего пробега вагонов.
3. Назвать конкретные мероприятия, реализация которых позволяет достичь изменения заданного показателя.
4. Определить экономию эксплуатационных расходов при сокращении рабочего парка вагонов.

