Условие:
1. Рассчитать площадь зоны активного загрязнения и экономический ущерб от загрязнения атмосферного воздуха выбросами промышленного предприятия.
2. Предложить план природоохранных мероприятий для этого предприятия.
3. Сделать вывод.


1. Рассчитать площадь зоны активного загрязнения и экономический ущерб от загрязнения атмосферного воздуха выбросами промышленного предприятия.
2. Предложить план природоохранных мероприятий для этого предприятия.
3. Сделать вывод.

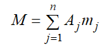
1. Рассчитываем значение приведенной массы годового выброса загрязнений в атмосферу Ма;
![]()
где mj масса годового выброса примеси j-гo вида в атмосферу, т/год;
Aj показатель относительной агрессивности примеси j-ro вида, усл.т/т;
n общее число примесей, выбрасываемых атмосферу (j=1,2,... n).
Значение mj определяетс...