Условие:
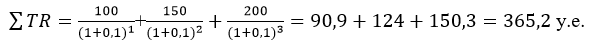
Прогнозные распределения валового дохода TRt, валовых издержек ТСt и капитальных вложений Кt во времени представлены в таблице. Используя данные таблицы, определить прогнозируемый приведенный экономический эффект (NPV) к началу проекта t=0 при ставке дисконтирования i=10%.


