Условие:
Цилиндрический барабан ультрацентрифуги, разделяющей высокомолекулярные соединения, имеет диаметр 30 см и массу 6 кг. Для остановки барабана, вращающегося с частотой 9000 об/мин, к нему, после выключения электродвигателя, прижали тормозную колонку.
Какую силу трения нужно приложить к боковой поверхности барабана, чтобы остановить его за 30 секунд? Сколько оборотов он сделает до полной остановки? Какова будет работа силы трения?
Решение:
Дано:
2R=30 см=0,3 м; m=6 кг
v0 = 9000 об/мин = 150с-1; t = 30c
Найти
N, F, A
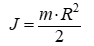
Момент силы трения, приложенной к поверхности барабана,M=F*R. Считая барабан сплошным цилиндром, найдем его момент инерции по формуле:

Из основного закона динамики вращательного движения получим: , где угловое ускорение. Следовательно,
