Условие:
Даны системы эконометрических уравнений.
Применив необходимое и достаточное условие идентификации, определите, идентифицируемо ли каждое из уравнений модели. Запишите в общем виде приведенную форму модели.
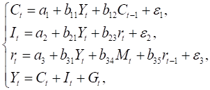
Макроэкономическая модель экономики США (одна из версий):

где C – потребление;
Y – ВВП;
I – инвестиции;
r – процентная ставка;
M – денежная масса;
G – государственные расходы;
t – текущий период;
t-1 – предыдущий период.

