Условие:
Пусть имеется следующая модель регрессии, характеризующая зависимость у от х: у=8-7х.
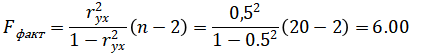
Известно также, что rху=0.5; n = 20.
Оценить на значимость уравнение регрессии и построить доверительный интервал для коэффициента регрессии в этой модели с вероятностью Р = 0,95
