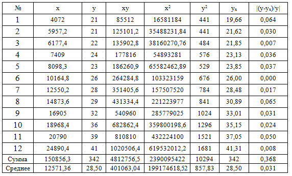
Условие:
В Таблице 1 приводятся данные по годам о среднедушевом доходе и потреблении товара А

Требуется:
1. Построить линейное уравнение парной регрессии y по x.
2. Рассчитать линейный коэффициент парной корреляции, коэффициент детерминации и среднюю ошибку аппроксимации.
3. Оценить статистическую значимость уравнения регрессии в целом и отдельных параметров регрессии и корреляции с помощью F - критерия Фишера и t -критерия Стьюдента.
4. Выполнить потребления товара А - y при прогнозном значении среднедушевого дохода x, составляющем 110% от среднего уровня.
5. Оценить точность прогноза, рассчитав ошибку прогноза и его доверительный интервал.
6. На одной координатной плоскости изобразить исходные данные, теоретическую прямую и результаты прогноза (точечного и интервального)
7. Построить модель Брауна зависимости среднедушевого дохода от года и выполнить прогноз на 3 года вперед. Построить на одной координатной плоскости исходные данные, модель и результаты прогноза


уравнения для параметров регрессии;