Условие:
1. На основании законов Кирхгофа составить математическую модель для определения токов во всех ветвях цепи.
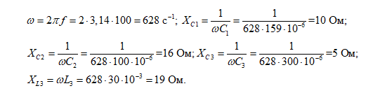
2. Определить действующие значения токов в ветвях цепи, воспользовавшись одним из методов расчета линейных электрических цепей.
3. Определить действующие значения падений напряжений на каждом элементе электрической цепи.
4. Определить показание электромагнитного вольтметра.
5. Определить показание электродинамического ваттметра.
6. Составить балансы активной, реактивной и полной мощностей.
7. Построить в масштабе векторные диаграммы токов и напряжений.



