Решение задачи
Цепь переменного тока содержит различные элементы (резисторы, индуктивности, емкости), включенные последовательно. Определить следующие величины, относящиеся к данной цепи, если они не заданы в таблице:
- Электроника, электротехника, радиотехника
Условие:
Цепь переменного тока содержит различные элементы (резисторы, индуктивности, емкости), включенные последовательно.
Определить следующие величины, относящиеся к данной цепи, если они не заданы в таблице:
1) Полное сопротивление z;
2) Напряжение U, приложенное к цепи;
3) Ток I;
4) Угол сдвига фаз φ (по величине и знаку);
5) Активную Р, реактивную Q и полную S мощности цепи. Начертить в масштабе векторную диаграмму цепи и пояснить ее построение.
Таблица 2 – Параметры элементов цепей


Рис. 2.1. Расчетная схема
Решение:
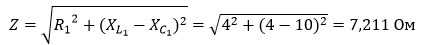
1. Определяем полное сопротивление цепи:

2. Определяем напряжение на входе:

3. Находим коэффициент мощности цепи. Во избежание потери знака угла определяем:
Похожие задачи
Не нашел нужную задачу?
Воспользуйся поиском
Выбери предмет
S
А
Б
В
Г
И
К
М
П
- Правоохранительные органы
- Пожарная безопасность
- Парикмахерское искусство
- Природообустройство и водопользование
- Почвоведение
- Приборостроение и оптотехника
- Промышленный маркетинг и менеджмент
- Производственный маркетинг и менеджмент
- Процессы и аппараты
- Программирование
- Право и юриспруденция
- Психология
- Политология
- Педагогика
Р
С
Т
- Трудовое право
- Теория государства и права (ТГП)
- Таможенное право
- Теория игр
- Текстильная промышленность
- Теория вероятностей
- Теоретическая механика
- Теория управления
- Технология продовольственных продуктов и товаров
- Технологические машины и оборудование
- Теплоэнергетика и теплотехника
- Туризм
- Товароведение
- Таможенное дело
- Торговое дело
- Теория машин и механизмов
- Транспортные средства
Ф
Э