Решение задачи
Для электрической системы, принципиальная схема которой приведена на рисунке один один, с установленными на электростанции явнополюсными генераторами без АРВ, с АРВ ПД и АРВ СД требуется построить векторную диаграмму и угловые характеристики мощности.
- Электроника, электротехника, радиотехника
Условие:
Для электрической системы, принципиальная схема которой приведена на рис.1.1, с установленными на электростанции явнополюсными генераторами без АРВ, с АРВ ПД и АРВ СД требуется построить векторную диаграмму и угловые характеристики мощности. Параметры элементов:



Решение:
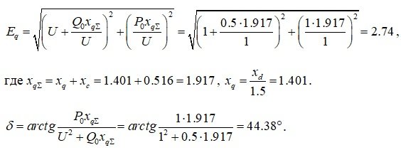
Определяем ЭДС Eq:

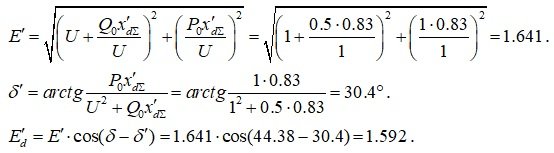
Определяем ЭДС E':

Напряжение на шинах генератора:
Похожие задачи
Не нашел нужную задачу?
Воспользуйся поиском
Выбери предмет
S
А
Б
В
Г
И
К
М
П
- Правоохранительные органы
- Пожарная безопасность
- Парикмахерское искусство
- Природообустройство и водопользование
- Почвоведение
- Приборостроение и оптотехника
- Промышленный маркетинг и менеджмент
- Производственный маркетинг и менеджмент
- Процессы и аппараты
- Программирование
- Право и юриспруденция
- Психология
- Политология
- Педагогика
Р
С
Т
- Трудовое право
- Теория государства и права (ТГП)
- Таможенное право
- Теория игр
- Текстильная промышленность
- Теория вероятностей
- Теоретическая механика
- Теория управления
- Технология продовольственных продуктов и товаров
- Технологические машины и оборудование
- Теплоэнергетика и теплотехника
- Туризм
- Товароведение
- Таможенное дело
- Торговое дело
- Теория машин и механизмов
- Транспортные средства
Ф
Э