Условие:
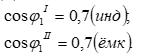
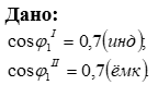
Используя параметры однофазных трансформаторов, рассчитать необходимые параметры и построить упрощенную векторную диаграмму трансформатора (током холостого хода пренебречь). При этом рассмотреть два случая номинальной нагрузки трансформатора при значении коэффициента мощности
: при индуктивном характере нагрузки и при ёмкостном характере нагрузки. Определить коэффициент мощности трансформатора
.


Решение:


1. Находим:
