Условие:
Исходные данные: U = 110 В; R1 = 2 Ом; R2 = 1 Ом; R3 = 4 Ом; R4 = 4 Ом; R5 = 2 Ом; R6 = 1 Ом; R7 = 5 Ом; R8 = 5 Ом; R9 = 6 Ом; R10 = 15 Ом; R11 = 8 Ом; R12 = 3 Ом. Требуется найти Rэкв., I1 - I12.

Исходные данные: U = 110 В; R1 = 2 Ом; R2 = 1 Ом; R3 = 4 Ом; R4 = 4 Ом; R5 = 2 Ом; R6 = 1 Ом; R7 = 5 Ом; R8 = 5 Ом; R9 = 6 Ом; R10 = 15 Ом; R11 = 8 Ом; R12 = 3 Ом. Требуется найти Rэкв., I1 - I12.
Обозначим направление тока на каждом сопротивлении (см. рисунок 2).

Рисунок 2 - Схема для расчета
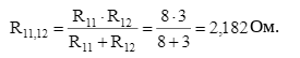
Заменим параллельно соединенные сопротивления R11 и R12 эквивалентным:

Заменим параллельно соединенны...