Условие:
Найти ток и напряжение на входе четырехполюсника.


Найти ток и напряжение на входе четырехполюсника.

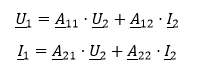
По известному току и напряжению на выходе четырехполюсника необходимо определить ток и напряжение на входе, что соответствует А-форме уравнений передачи четырехполюсника:

где

При режиме холостого хода д...
Не нашел нужную задачу?