Условие:
Определить токи на участках цепи и ЭДС источника питания для схемы, изображенной на рис. 1. Известны величины сопротивлений:
![]()
Мощность, выделяемая на сопротивлении R2, равна 24 Вт.

Рис.1

Определить токи на участках цепи и ЭДС источника питания для схемы, изображенной на рис. 1. Известны величины сопротивлений:
![]()
Мощность, выделяемая на сопротивлении R2, равна 24 Вт.

Рис.1
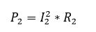
Мощность на R2:
![]()
Сопротивления R4 и R5 соединены параллельно:
Не нашел нужную задачу?