Условие:
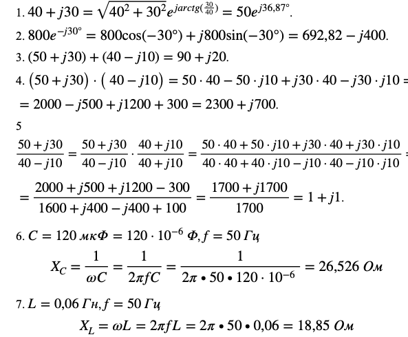
1. Получить показательную форму записи комплексного числа 
2. Получить алгебраическую форму записи комплексного числа 
3. Найти сумму двух комплексных чисел 
4. Найти произведение двух комплексных чисел 
5. Найти деление двух комплексных чисел 
6. Рассчитать сопротивление конденсатора 120 мкФ для тока частотой 50 Гц.
7. Рассчитать сопротивление индуктивности 0,06 Гн для тока частотой 50 Гц.
8. Получить комплексное выражение переменного синусоидального тока

9. Построить вектор тока 

10. Записать систему уравнений по законам Кирхгофа, методом контурных токов, узловых потенциалов



