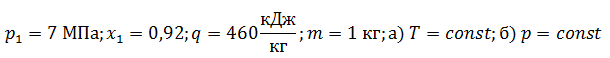
Условие:
1 кг водяного пара с начальным давлением p1 и степенью сухости x1 изотермически расширяется; при этом к нему подводится теплота q . Определить, пользуясь h s – диаграммой, параметры конечного состояния пара, работу расширения, изменение внутренней энергии, энтальпии и энтропии. Решить также задачу, если расширение происходит изобарно. Изобразить процессы в p v, Ts и h s – диаграммах.
Исходные данные

Решение:

По h-s диаграмме определяем начальное состояние пара. Воспользуемся интерактивной таблицой программы организации IAPWS (The International Association for the Properties of Water and Steam). Зададим начальное давление и степень сухости и определим остальные параметры (рис. 3):
