Условие:
Найдите внутреннюю норму доходности для потока CF = {(0;-500), (1;450), (2;300)} .

Найдите внутреннюю норму доходности для потока CF = {(0;-500), (1;450), (2;300)} .
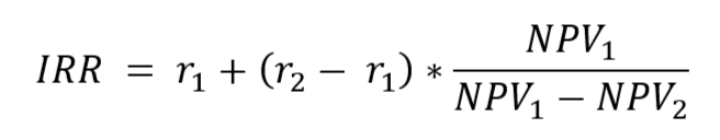
Для расчета IRR в данном случае используем формулу:

где r1 коэффициент дисконтирования, при котором NPV1 0;
r2 коэф...