Условие:
Оценить стоимость трехгодичной ренты с ежемесячной выплатой 300 долл., если также ежемесячно начисляются антисипативные проценты по сложной учетной ставке 6% годовых.

Оценить стоимость трехгодичной ренты с ежемесячной выплатой 300 долл., если также ежемесячно начисляются антисипативные проценты по сложной учетной ставке 6% годовых.
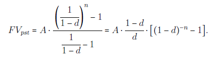
По формуле

при A = 300; n = 0,12 3 = 0,36; d = 0,06/12 = 0,005
Не нашел нужную задачу?