Условие:
Используя данные табл. 5, рассчитать сумму, полученную предъявителем векселя, и дисконт при условии применения:
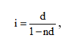
А) простых учетных ставок;
Б) сложных учетных ставок, ежемесячного дисконтирования.
Для условия А определить значение эквивалентной простой ставки
процентов, для условия Б - эффективной учетной ставки. Построить графики дисконтирования по простой и сложной учетной ставке.
Таблица 5
Параметры операции учета векселя


