Условие:
В фонд ежегодно в начале года поступают средства по 10000 руб. в течение 8 лет, на которые начисляются проценты по ставке 15% годовых. Определить величину фонда на конец срока и современную стоимость.

В фонд ежегодно в начале года поступают средства по 10000 руб. в течение 8 лет, на которые начисляются проценты по ставке 15% годовых. Определить величину фонда на конец срока и современную стоимость.
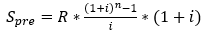
Формула наращенной суммы для ренты пренумерандо равна :

где Spre наращенная сумма,
R величина ежегодного взноса,
i процентная ставка,
n срок ренты.