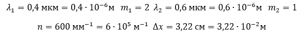
Условие:
На дифракционную решетку, имеющую n штрихов на 1мм , нормально падает пучок света. На экране, находящемся на расстоянии L от линзы, наблюдается дифракционный спектр, расстояние между двумя линиями которого равно
.
Определите неизвестную величину.
Исходные данные:



