Условие:
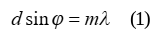
На дифракционную решётку нормально к ее поверхности падает параллельный пучок света с длиной волны λ. Помещённая вблизи решётки линза проецирует дифракционную картину на экран, удаленный от линзы на расстояние L. Расстояние между двумя максимумами интенсивности первого порядка на экране равно l. Постоянная решётки - d. Число штрихов решётки на единицу длины - n. Максимальный порядок спектра – mmax. Число максимумов, которое при этом дает решётка - N. Угол дифракции первого порядка - φ1 . Используя данные таблицы 2, найдите недостающие величины.
Таблица 2.



