Условие:
Исходные данные:

Необходимо определить:
– коэффициент крепости пород f;
– величину горного давления Р, т/м;
– диаметр элементов деревянной крепежной рамы.

Исходные данные:

Необходимо определить:
– коэффициент крепости пород f;
– величину горного давления Р, т/м;
– диаметр элементов деревянной крепежной рамы.
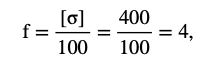
Коэффициент крепости пород рассчитываем по формуле:

где прочность пород на сжатие:

где Ро сила сжатия, 10 т = 10000 кг;
S площадь породы, на которую давят силой Ро, 25 см2
Определяем горное да...
Не нашел нужную задачу?