Условие:
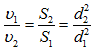
Из вентилятора воздух с давлением рВ = 3 кПа подается в воздуховод диаметром d1 = 350 мм длиной l1 = 15 м. Воздуховод имеет дроссельную заслонку с коэффициентом сопротивления ξдр = 2 и диффузор ξдиф = 0,3. Определить расход воздуха Q, если диаметр диффузора d2 = 1,35 d1, а коэффициент гидравлического трения
= 0,025.


