Условие:
Мазут подается в топку котла в количестве Gм, через форсунку с коническим сходящимся насадком, имеющим угол конусности αм=10° (μм=0,94). Воздух для сжигания подается также через конический сходящейся насадок с углом конусности αв=30° (µв=0,90). Определить сечение мазутного и воздушного сопла, если для сжигания 1 кг мазута требуется 9 м3 воздуха при температуре 15 °С. Мазут подают к насадку под избыточным давлением Рм, а воздух под избыточным давлением Рв. Принять плотность воздуха ρ=1,2 кг/м3, плотность мазута ρм=870кг/м3.
Дано:
αм=10°
μм=0,94
αв=30°
µв=0,90
ρв=1,2 кг/м3
ρм=870кг/м3
Gм=1,5 кг/с
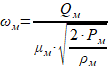
Рм=450 кПа=45∙104 Па
Рв=8,5 кПа=8,5∙103 Па
Найти: dм, dв – ?


