Условие:
На глубине h = 185 м под землей в шахте расположен гидромонитор в виде коноидального насадка диаметром d = 12 мм. Гидромонитор питается водой от насосной станции, расположенной на поверхности земли. При показаниях манометра рм = 2100 кПа на трубопроводе в насосной станции потери напора до гидромонитора составляют hw = 5 м. Чему равны скорость и расход струи гидромонитора?

Рисунок 1 – Схема к задаче
Решение:
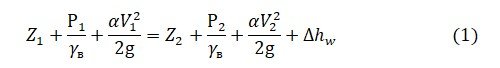
Составим уравнение Бернулли.

где =g-удельный вес воды, Н/м3;
-коэффициент Кориолиса;
g = 9,81 м/с2 ускорение свободного падения;
Z1 и Z2 высота подъема сечений 1 и 2 над плоскостью сравнения, м;
V1 и V2 скорости жидкости в сечениях 1 и 2, м/с;
hw-гидравлические потери между плоскостями 1 и 2, м.
Полагая режим сопротивления турбулентным, принимаем = 1.
в=9810 Н/м3
Сечение 1-1 проводим в точке п...
