Условие:
Определить давление в сечении ΙΙ-ΙΙ указанного потока идеальной жидкости при условиях, заданных в таблице
Изобразите графически уравнение Бернулли в произвольном масштабе, взяв плоскость сравнения по оси потока.


Рис 10.1

Определить давление в сечении ΙΙ-ΙΙ указанного потока идеальной жидкости при условиях, заданных в таблице
Изобразите графически уравнение Бернулли в произвольном масштабе, взяв плоскость сравнения по оси потока.


Рис 10.1
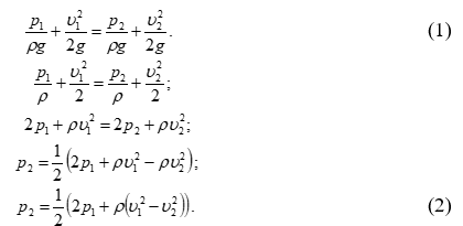
Рассмотрим поток с различными живыми сечениями, I-I и II-II. Плоскость сравнения 0-0 проведем через центры сечений, тем самым исключим из уравнения геометрические напоры.
Запишем уравнение Бернулли для сечения I-I и II-II этого потока, пренебрегая местными потерями на расширение:

По определению объёмного расхода жидкости находим скорости потоков:
Не нашел нужную задачу?