Условие:
Определить силу прессования F, развиваемую гидравлическим прессом. Диаметр большого поршня D=0,4м, диаметр малого поршня d = 0,1м, длина плеч рычага b = 850 мм, а = 80 мм. Усилие, приложенное к рукоятке R=110Н. Температура жидкости 200С. Поршни расположены на одном уровне.

Решение:
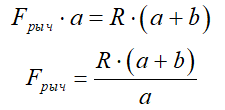
Для определения силы, действующей на поршень диаметром d рассмотрим равновесие рычага
![]()

