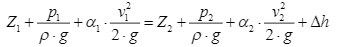
Условие:
Определить вакуум во всасывающей трубе насоса (в месте установки вакуумметра V) при длине трубы l=20м, диаметре d=0,2м, количество подаваемого насосом воды Q= 0,06м3/с и высоте центра насоса над поверхностью воды hнас=4,5 м. На входе трубы имеется сетка.

Рисунок 2

