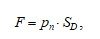
Условие:
Паровой прямодействующий насос подает жидкость Ж на высоту Н (рис. 2). Каково рабочее давление пара, если диаметр парового цилиндра — D, а насосного цилиндра — d. Потерями на трение пренебречь.

Дано: жидкость – масло турбинное,
Н = 45 м, D = 180 мм = 0,18 м,
d = 100 мм = 0,1 м.
Найти:
рп = ?

