Условие:
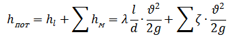
Поршневой насос двойного действия подает воду в количестве Q из колодца в открытый резервуар на геодезическую высоту, но трубопроводу длиной l диаметром d; коэффициент гидравлического трения, λ = 0,03 и суммарный коэффициент местных сопротивлений ζ = 20.
Определить размеры цилиндра и мощность электродвигателя, если отношение длины хода поршня к его диаметру S : D =1,0; число двойных ходов и минуту n, отношение диаметра штока к диаметру поршня d : D = 0,15; объемным коэффициент полезного действия ηоб = 0,9; полный коэффициент полезного действия η = 0,7.
Исходные данные:
Q = 30 л/с = 0,03 м3/с,
Нг = 10 м,
l = 20 м, d = 100 мм = 0,1 м, n = 100 об/мин
