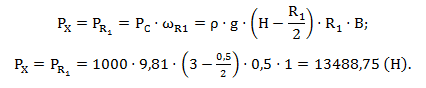
Условие:
Угловой поворотный затвор перекрывает боковое отверстие А резервуара (рис. 3.22). R1=R2=0,5 м, ширина затвора В=1 м, Н=3 м. Определить полную силу давления воды на затвор и момент этой силы относительно оси поворота затвора.

Дано: R1=R2=0,5 м; В=1 м, Н=3 м.
Найти: 


