Условие:
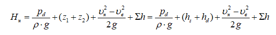
В паровой котел, работающий при избыточном давлении pd = 3 атм, из колодца центробежным насосом подается вода в количестве Q = 20 м3/час. Геометрическая высота всасывания равна hs =1 м, высота нагнетания hd = 5 м. Определить напор, создаваемый насосом, если диаметры всасывающего и нагнетательного трубопроводов равны d1 = 80 мм, d2 = 50 мм и длины l1 = 3 м, l2 = 15 м соответственно. Коэффициенты местных сопротивлений сетки на всасывающей трубе ξс = 4 и двух вентилей на нагнетательной трубе ξвн = 5, коэффициент гидравлического трения по длине трубы λ = 0,03. Прочими потерями напора пренебречь.



